System oświaty
Jak obliczyć subwencję oświatową i uniknąć błędów w kalkulacji
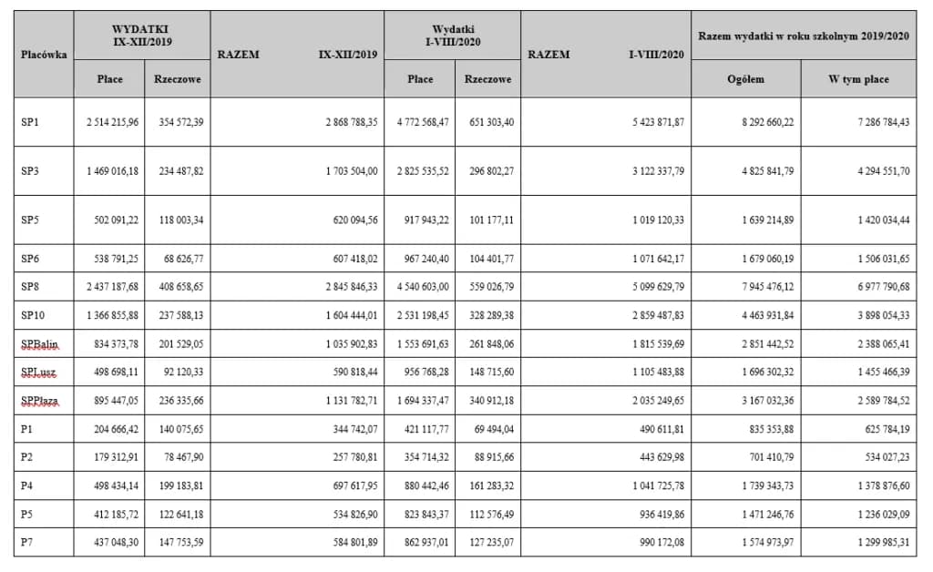
Oblicz subwencję oświatową jak obliczyć, unikając błędów. Dowiedz się, jakie składniki wpływają na wysokość subwencji i jak je prawidłowo ustalić.
•
24 października 2025
Jak obliczyć subwencję oświatową i uniknąć błędów w kalkulacji
Oblicz subwencję oświatową jak obliczyć, unikając błędów. Dowiedz się, jakie składniki wpływają na wysokość subwencji i jak je prawidłowo ustalić.